Профессиональное телевизионное оборудование

 
 
 

 

Продукция по семействам

 

Продукция по категориям

 

Главная >  Ввод(вывод)...  >  PN-EX-603-16

 

Блок вывода 16-ти каналов звука из 12G/6G/3G/HD/SD SDI
/ Серия PN-EX-603-16-XX/

 

 

Блок вывода 16-ти каналов звука из 12G/6G/3G/HD/SD SDI серии PN-EX-603-16-XX  (далее по тексту “де-эмбеддер”)  предназначен для:

  •  вывода 16-ти каналов звука в аналоговом (линейный) или цифровом AES формате;

  • ·регулировки усиления для каждой звуковой канальной пары;

  • ·маршрутизатор звуковых каналов;

  • ·передачи/приема  по волоконно-оптической линии связи сигналов SDI (SFP заказывается отдельно).

 

В шифре блоков индекс “X” означает тип установленного звукового субмодуля:

“А” – субмодуль аналоговый выходной,

“Е” – субмодуль цифровой выходной.

Выходы аудио сигналов балансные. Количество поддерживаемых входных аудио каналов, а также их формат, зависит от установленных в блок звуковых субмодулей. В модели с индексом «16» можно установить два субмодуля. Аналоговые субмодули имеют 8 входов, цифровые субмодули имеют 4 входа AES.

 

Пример заказа: PN-EX-603-16-AE ,

где A – субмодуль аналоговый,

 E – субмодуль цифровой.

 

Имеется слот для установки оптического SFP видео. Оптический SFP модуль может быть одноканальным (на вход или выход) или двухканальным (на вход и выход) и позволяет производить замену модуля, не выключая устройство. Кроме того, он позволяет получить информацию о мощности излучения на входе приемника, выходе передатчика и длине волны на выходе передатчика. Если выбран оптический вход, то разъем SDI I/O становится проходным  электрическим выходом оптического сигнала IN.

Оптический SFP модуль в состав не входит. Тип модуля SFP заказывается отдельно.

 

Блок может использоваться в одно-, двух- и многоканальных системах.

Длины волн лазерного излучения оптических передатчиков:

  • в одноканальных системах  (1310±20)нм   /либо  (1550±20)нм  по заказу/;

  • в двухканальных системах (WDM)  –  (1310±20) нм  и  (1550±20) нм;

  • в многоканальных системах (CWDM)  –  в диапазоне 1270¸1610 нм с шагом 20 нм
    (шифр блока с индексом CW##,  где ## – длина волны лазера CWDM)

 

 

Де-эмбеддер серии PN-EX-603-16-XX предназначен для работы в базовой конструкции модульной системы "PROFNEXT". Размещается в корпусах 1U или 3U системы "PROFNEXT" и занимает два слота в корпусе. В корпусах 1U блоки размещаются горизонтально, в корпусах 3U – вертикально.

 

Де-эмбеддер предназначен для круглосуточной работы в стационарном помещении с температурой окружающего воздуха от +5 до +45оС, относительной  влажности не более 80% при температуре 25оС, атмосферном давлении 750±30 мм рт. ст.

 

 

 

Функциональные возможности:

  • автоматический корректор кабеля для сигнала SDI;

  • индикация потери сигнала на входе SDI;

  • автоматическое определение стандарта входного сигнала SDI;

  • индикация ошибок EDH/CRC (мин./час) для сигнала SDI;

  • внутренний генератор сигнала ГЦП (BARS);

  • внутренний генератор тон – сигнала 1 кГц;

  • вывод до 16 каналов звука в аналоговом или цифровом формате;

  • индикация наличия вложенного аудио во входном сигнале;

  • регулировка усиления для каждой канальной пары в пределах ±6дБ;

  • маршрутизатор звуковых каналов;

  • SFP модуль на оптическом входе/выходе;

  • мониторинг выходной оптической мощности излучения и отображение длины волны лазера;

  • мониторинг мощности излучения на входе приемника в реальном времени;

  • возможность использования в одно-, двух- (WDM) и многоканальных (CWDM - до 18 каналов) системах передачи.

 

 

Технические характеристики тракта

 

Входы:

Вход 12G/6G/3G/HD/SD SDI  INPUT:

Поддерживаемые стандарты

SMPTE 259M (SDI):

625i/50;

525i/59.94.

SMPTE 292M (HD SDI) :

1080i/50;

1080i/59. 94;

1080i/60;

1080p/23.98;

1080p/24;

1080p/25;

1080p/29. 97;

1080p/30;

720p/50 ;

720p/59. 94; 

720p/60.

SMPTE 424M/ SMPTE 425M

 (3G Level A 4:2:2):

1080p/50;

1080p/59. 94;

1080p/60.

 

SMPTE ST-2081 (6G):

2160p24/23.976, 2160p25, 2160p30/29.97. 

 

SMPTE ST-2082 (12G):

2160p50, 2160p60/59.94.

 

Разъемы

BNC

Входное сопротивление

75 Ом

Автоматическая коррекция кабеля

(Belden 1694A)

12G - до 50 м;

6G - до 80 м;

3G - до 120 м;

HD - до 150 м.

 

 

Оптический вход  RX:

Поддерживаемые стандарты

SMPTE 259M (SDI):

625i/50;

525i/59.94.

SMPTE 292M (HDSDI) :

1080i/50;

1080i/59. 94;

1080i/60;

1080p/23.98;

1080p/24;

1080p/25;

1080p/29. 97;

1080p/30;

720p/50 ;

720p/59. 94; 

720p/60.

SMPTE 424M/ SMPTE 425M

 (3G Level A 4:2:2):

1080p/50;

1080p/59. 94;

1080p/60.

 

SMPTE ST-2081 (6G):

2160p24/23.976, 2160p25, 2160p30/29.97. 

 

SMPTE ST-2082 (12G):

2160p50, 2160p60/59.94.

 

Разъемы

SFP/ LC

Диапазон спектральной чувствительности

1200 нм - 1610 нм

Диапазон чувствительности (3.0 Гбит)

(-3)…(-24)  дБм;

 

 

 

Выходы

Выход  SDI OUT:

Количество выходов

2

Разъёмы

BNC

Выходное сопротивление

75 Ом

Стандарт

соответствует входному

Выходное затухание несогласованности

не менее 12 дБ до 1.5 ГГц

Размах

800мВ±10%

Джиттер

менее 0.2UI (единичного интервала)

 

Оптический выход:

                  Система

Параметры

Одноканальная

Двухканальная
(WDM)

CWDM

Лазерный диод типа

FP

FP

DFB

Длина волны

1310±20 нм  или
1550±20 нм (по заказу)

1310±20 нм   и
1550±20 нм

от 1270 до 1610 нм
с шагом 20 нм

Выходная оптическая мощность

0..3 дБм

0..3 дБм

0..3 дБм

Тип оптического разъема

SFP/LC 

SFP/LC 

SFP/LC 

 

Выход аналогового звукового сигнала:

Разъём

DHR-26F (гнездо)

Выходное сопротивление

<50 Ом

Вид выхода

симметричный

Динамический диапазон по выходу, соответствующий 0 дБ Fs

+18дБ

Регулировка усиления для каждой канальной пары

± 6 дБ с шагом 0,1 дБ

Динамический диапазон

не менее 100 дБ

 

Выход цифрового звукового сигнала

Разъём

DHR-26F (гнездо)

Вид выхода

симметричный, трансформаторный

Размах

3 В на нагрузке 110 Ом

Регулировка усиления для каждой канальной пары

± 6 дБ с шагом 0,2 дБ

 

Потребляемая мощность:  не более 8 Вт.

Диапазон рабочих температур:  от 5 до 45°С.

Время непрерывной работы:  24 часа.

Габаритные размеры:  фронтальная плата 250x100 мм, задняя плата 100х110 мм.

Масса:  не более 0,4 кг.

 

 

Состав, устройство и работа

 

Общее устройство и принцип действия

Де-эмбеддер серии PN-EX-603-16-XX является устройством модульной системы "PROFNEXT" и содержит в своём составе один фронтальный (F) и один задний (R) модули системы "PROFNEXT".

 

 

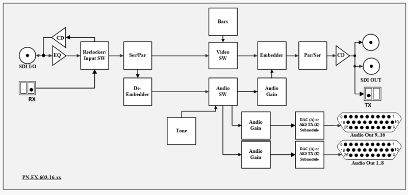
Структурная схема преобразователя

 

Сигнал с входа SDI IN поступает на кабельный корректор (EQ) и далее на входной коммутатор Input SW. На второй вход коммутатора приходит сигнал с оптического входа IN(RX). Сигнал с выбранного входа проходит через блок восстановления тактовой частоты (Reclocker) и поступает на SDI декодер (Ser/Par), где преобразуется в 20-разрядный поток 4:2:2.  С выхода декодера сигнал поступает на De-Embeder, где извлекаются звуковые аудио каналы. Если выбран оптический вход, то разъем SDI I/O становится проходным  электрическим выходом оптического сигнала IN(RX).

Извлеченные из входного сигнала SDI аудио данные поступают на звуковой коммутатор (Audio SW).

Перед замешиванием звуковых данных в выходной сигнал (Embedder), можно задать усиление для каждой канальной пары в пределах ±6дБ (Audio Gain).

            С другого выхода звукового коммутатора звуковые сигналы проходят через блок регулировки уровня ±6дБ (Audio Gain). Далее, через звуковые субмодули (DAC (А) or AES TX (E) Submodule) в аналоговом или цифровом формате, звуковые сигналы поступают на выходы (Audio Out 16..1).

 

После SDI кодера (Par/Ser) сигнал через кабельный драйвер поступает на выходы SDI OUT и оптический выход OUT (TX).

Формат выходного видеосигнала определяется автоматически от входного сигнала или можно установить необходимый выходной формат блока принудительно (входной сигнал должен соответствовать выбранному формату).

  

        

 

Внешние разъёмы преобразователя

 

 

Индикаторы на фронтальном модуле

Индикаторы размещаются на плате фронтального модуля.

 

 

Внешний вид индикации

 

Светодиоды, расположены на печатной плате и индицируют состояние блока:

  • INPUT               – если светодиод горит зеленым - указывает на присутствие сигнала на выбранном входе SDI IN или оптическом IN и соответствии его допустимому стандарту, желтым- наличие сигнала на входе и несоответствии его допустимому стандарту модуля, красным – отсутствие сигнала.

  • EDH DET          – если светодиод горит зеленым - индицирует наличие EDH пакета во входном сигнале SD SDI, не горит – отсутствие.

  • EDH/CRC MIN/HOUR     – если светодиод горит красным - указывает, что с момента последней ошибки EDH/ CRC сигнала SDI IN прошло менее минуты/часа, не горит – отсутствие ошибок.

  • AUD DET         – зажигание светодиода индицирует наличие звуковых данных во входном сигнале SDI, не горит – отсутствие.

 

Конструктивное исполнение

 

Конструктивно де-эмбеддер серии PN-EX-603-16-XX  выполнен на фронтальном (PN-1435F2) и заднем (PN-1436R) модулях системы “PROFNEXT”, которые размещаются в корпусах 1U или 3U этой системы, и занимает два слота в корпусе.  В корпусе 1U блоки располагаются горизонтально, в корпусе 3U – вертикально.

Фронтальный модуль выполнен в виде платы размером 250х100 мм. Плата двигается по направляющим и легко извлекается с помощью рычагов, расположенных на краю платы. На фронтальном модуле размещаются также дополнительные платы (в зависимости от модификации).

Задний модуль выполнен в виде платы размером 100х110 мм,  на которой размещены входные и выходные разъемы устройства. Плата легко извлекается из корпуса после выкручивания фиксирующих винтов, крепящих плату к корпусу.

Соединение фронтального и заднего модулей осуществляется напрямую через разъем. Через поперечную кросс-плату, которая встроена внутри корпуса “PROFNEXT”, на модули поступает напряжение питания, команды управления, и два глобальных опорных синхросигнала, если они используется.

 

 

Управление устройством

 

Управление устройством выполняется от местной панели управления корзины или от ПЭВМ.

Управление устройством и его мониторинг от ПЭВМ осуществляется через модуль центрального процессора дистанционного управления, размещенного в этом же корпусе, через веб-интерфейс в полном виде (аналогично меню от местной панели управления корзины) или через программный комплекс PROFLEX3 в упрощенном виде (только статус и некоторые регулировки).

ПО “Программный пакет для мониторинга и управления модульными системами PROFLEX3” можно скачать на сайте www.profitt.ru в разделе «Поддержка» (http://www.profitt.ru/SOFT/PROFLEX3v1.zip).

Выбор возможных режимов от местной панели управления осуществляется через меню на графическом дисплее. Все меню разделено на страницы, которые могут быть информационными или установочными. Выбор страниц и изменение параметров производится нажатием кнопок со стрелочками вверх/вниз и вправо/влево. Вход в подменю или применение выбранного параметра – кнопкой ENTER. Выход на  один уровень вверх – кнопкой  ESC.

 

^Наверх