Профессиональное телевизионное оборудование

 
 
 

 

Продукция по семействам

 

Продукция по категориям

 
 

Главная >  Видео задержка  PN-VDS-052

 

Устройства видео задержки 3G/HD/SD SDI сигналов
PN-VDS-052

 

 

Блок видео задержки 3G/HD/SD SDI сигнала PN-VDS-052  (далее по тексту блок задержки) предназначен для задержки (до 62 кадров) и синхронизации 3G/HD/SD SDI сигнала к опорному сигналу REF. Задержка регулируется в кадрах, строках и пикселях относительно опорного или входного сигнала.

 

Для синхронизации блока используется один из глобальных входов синхронизации  корзины или вход SDI IN.

Блок задержки серии PN-VDS-052    предназначен для работы в базовой конструкции модульной системы "PROFNEXT". Размещается в корпусах 1U или 3U системы "PROFNEXT" и занимает один слот в корпусе. В корпусах 1U блоки размещаются горизонтально, в корпусах 3U – вертикально.

Блок задержки предназначен для круглосуточной работы в стационарном помещении с температурой окружающего воздуха от +5 до +45оС, относительной  влажности не более 80% при температуре 25оС, атмосферном давлении 750±30 мм рт. ст.

 

 

Функциональные возможности:

 

  • задержка видео и звука от 1 до 62 кадров;

  • регулировка фазы выходного сигнала по строке и по кадру;

  • автоматический корректор кабеля для входного сигнала SDI IN;

  • индикация потери входного сигнала SDI IN;

  • автоматическое определение стандарта входного сигнала SDI IN;

  • индикация ошибок EDH/CRC (мин./час.) во входном сигнале SDI IN;

  • автоматическое определение стандарта входного сигнала REF;

  • внутренний генератор сигнала ГЦП (BARS);

  • внутренний генератор тон – сигнала 1 кГц;

  • пропуск 4-х групп входного сигнала;

  • индикация наличия вложенного аудио во входном сигнале;

  • маршрутизатор звуковых каналов;

  • регулировка усиления для каждой канальной пары в пределах ±6дБ;

  • дополнительная регулировка задержки звука для каждой канальной пары до 18 кадров.

 

Технические характеристики тракта

 

Входы:

 

Вход SDI IN:

Поддерживаемые стандарты

SMPTE 259M (SDI):

625i/50;

525i/59.94.

SMPTE 292M (HD SDI) :

1080i/50;

1080i/59. 94;

1080i/60;

1080p/23.98;

1080p/24;

1080p/25;

1080p/29. 97;

1080p/30;

720p/50 ;

720p/59. 94; 

720p/60.

SMPTE 424M/ SMPTE 425M

 (3G Level A 4:2:2):

1080p/50;

1080p/59. 94;

1080p/60.

Поддерживаемые звуковые группы

1,2 (8 каналов)

Разъемы

BNC

Входное сопротивление

75 Ом

Автоматическая коррекция кабеля

до 100 м (для кабеля 8281 или аналогичного)

 

Вход синхронизации REF IN:

Вход

закрытый, проходной

Разъём

BNC

Размах ССП

HD – трехуровневый аналоговый сигнал

(600 +/- 100) mV 

SD  – сигнал черного поля (300 +/- 100) mV  
или   композитный сигнал 1Vpp

Входное сопротивление

больше 10 кОм

Поддерживаемые стандарты

BB PAL/SECAM: 625i/50;

BB NTSC: 525i/59,94;

TRI LEVEL SYNC

SMPTE 292M:

1080i/50;

1080i/59. 94;

1080i/60;

1080p/23.98;

1080p/24;

1080p/25;

1080p/29. 97;

1080p/30;

720p/50 ;

720p/59. 94; 

720p/60.

SMPTE 424M/ SMPTE 425M:

1080p/50;

1080p/59. 94;

1080p/60.

 

 

 

Выходы

 

Выход SDI OUT:

Количество выходов

2

Разъёмы

BNC

Выходное сопротивление

75 Ом

Стандарт

соответствует входному

Выходное затухание несогласованности

не менее 12 дБ до 1.5 ГГц

Размах

800мВ±10%

Джиттер

 менее 0.2UI (единичного интервала)

 

Потребляемая мощность:  не более 6 Вт.

Диапазон рабочих температур:  от 5 до 45°С.

Время непрерывной работы:  24 часа.

Габаритные размеры:  фронтальная плата 250x100 мм, задняя плата 100х110 мм.

Масса:  не более 0,4 кг.

 

 

Состав, устройство и работа блока задержки

Блок задержки серии PN-VDS-052 является устройством модульной системы "PROFNEXT" и содержит в своём составе один фронтальный (F) и один задний (R) модули системы "PROFNEXT".

 

 

 

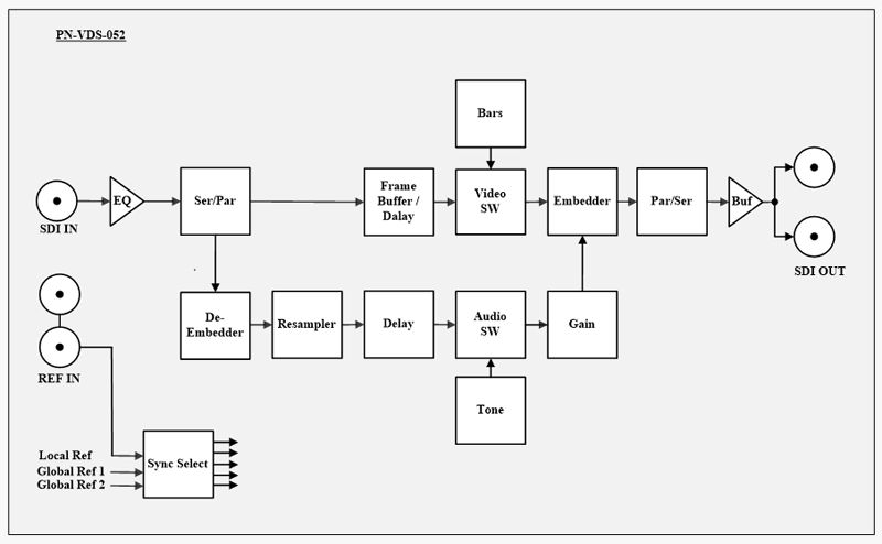
Структурная схема блока задержки

 

Входной сигнал SDI IN поступает на кабельный корректор (EQ), затем  на SDI декодер (Ser/Par), где преобразуется в 20-разрядный поток 4:2:2.  С выхода декодера сигнал поступает на De-Embeder, где извлекаются звуковые аудио группы.

Видеоданные записываются в память (Frame Buffer), после чего считываются на частоте опорного сигнала. В качестве опорного сигнала блока может быть один из глобальных входов корзины Global Ref 1/2, местный вход REF IN, вход SDI IN или внутренний генератор. Считывание видео из памяти возможно с задержкой до 62 кадров. Задержка регулируется в кадрах, строках и пикселях относительно опорного или входного сигнала.

Аудиоданные перетактируются к тактовой частоте, привязанной к опорному сигналу (Resampler), затем проходят через блок регулировок усиления и задержки (Gain/Delay). Можно задать усиление для каждой канальной пары в пределах ±6дБ. Задержка звука происходит совместно с задержкой видео. Дополнительную задержку звука относительно видео можно задать до 18 кадров. Можно переназначить входные аудио каналы на выходе SDI (Audio SW).

Формат выходного видеосигнала определяется  автоматически от входа SDI IN или устанавливается принудительно. Формат опорного сигнала REF может не совпадать с форматом входного сигнала, но должен иметь кратную кадровую частоту и соответствующий режим кадровой развертки.

 

 

        

 

Внешние разъёмы блока задержки

 

 

Индикаторы на фронтальном модуле

 

Индикаторы размещаются на плате фронтального модуля.

 

 

Внешний вид индикации

 

Светодиоды, расположены на печатной плате и индицируют состояние блока:

-    IN                      – если светодиод горит зеленым, это указывает на присутствие сигнала на входе SDI IN и соответствии его допустимому  стандарту, желтым – наличие сигнала на входе и несоответствие его  допустимому стандарту модуля,  красным – отсутствие сигнала.

-    CRC/ EDH MIN – если светодиод горит красным, это указывает, что с момента последней ошибки CRC/ EDH сигнала SDI IN прошло менее минуты, не горит – отсутствие ошибок.

-    AUD DET         – зажигание светодиода индицирует наличие звуковых данных во входном сигнале, не горит – отсутствие.

-    REF IN             – если светодиод горит зеленым, это указывает на присутствие сигнала на входе REF и соответствие его допустимому стандарту, желтым – наличие сигнала на входе и несоответствии его допустимому стандарту модуля, красным – отсутствие сигнала.

-     LOCK              – если светодиод горит зеленым, – индикация привязки выходного сигнала к опорному сигналу.


 

 

Конструктивное исполнение

 

Конструктивно блок задержки серии PN-VDS-052 выполнен на фронтальном (PN-1172F1) и заднем (PN-1387R1) модулях системы “PROFNEXT”, которые размещаются в корпусах 1U или 3U этой системы, и занимает один слот в корпусе.  В корпусе 1U блоки располагаются горизонтально, в корпусе 3U – вертикально.

Фронтальный модуль выполнен в виде платы размером 250х100 мм. Плата двигается по направляющим и легко извлекается с помощью рычагов, расположенных на краю платы. На фронтальном модуле размещаются также дополнительные платы (в зависимости от модификации).

Задний модуль выполнен в виде платы размером 100х110 мм,  на которой размещены входные и выходные разъемы устройства. Плата легко извлекается из корпуса после выкручивания фиксирующих винтов, крепящих плату к корпусу.

Соединение фронтального и заднего модулей осуществляется напрямую через разъем. Через поперечную кросс-плату, которая встроена внутри корпуса “PROFNEXT”, на модули поступает напряжение питания, команды управления, и два глобальных опорных синхросигнала, если они используется.

 

 

Установка режимов устройства серии PN-VDS-052

 

 

Управление устройством выполняется от местной панели управления корзины или от ПЭВМ.

 

Управление устройством и его мониторинг от ПЭВМ осуществляется через модуль центрального процессора дистанционного управления, размещенного в этом же корпусе, через веб-интерфейс в полном виде (аналогично меню от местной панели управления корзины) или через программный комплекс PROFLEX3 (рис. 5) в упрощенном виде (только статус и некоторые регулировки).

 

Выбор возможных режимов от местной панели управления осуществляется через меню на графическом дисплее. Все меню разделено на страницы, которые могут быть информационными или установочными. Выбор страниц и изменение параметров производится вращением многофункциональной кнопки управления. Вход в подменю или применение выбранного параметра – кнопкой ENTER. Выход на  один уровень вверх – кнопкой  ESC.

Схематично меню показано на рис. 4.

 

 

 

 

 

<Config> - Установка конфигурации модуля.

 

<Config> <Ref Source > - Выбор источника синхронизации модуля:

Ref 1/2 – глобальный вход синхронизации корзины Ref1 или Ref2;

Local Ref – местный вход синхронизации блока REF IN;

SDI Inвход SDI IN;

Intern Gen – внутренний генератор.

 

<Config> <Lost Ref In>  - Выбор источника синхронизации при пропадании опорного сигнала:

Intern Gen – внутренний генератор;

SDI Inвход SDI IN.

 

<Config> <Output Std>  - Выбор режима выходного стандарта блока:

Forced - принудительно устанавливается заданный формат;

SDI In - выходной стандарт устанавливается автоматически с входным сигналом на входе SDI IN и запоминается при пропадании сигнала.

 

<Config> <Forced Std>  - Выбор выходного стандарта в режиме Forced:

SD_625I, … , 3GA_1080p50  - устанавливается заданный стандарт.

 

<Config> <Alarms>  - Установка флагов разрешения сигналов тревоги:

                        <Video In > - отсутствие входного сигнала SDI IN;

<Audio In > - отсутствие звука во входном сигнале SDI IN;

<Ref In> - отсутствие входного сигнала REF IN;

<Genlock> - отсутствие привязки выходного сигнала к опорному сигналу.

 

<Status Ref In> <Format- Информация  о наличии и формате сигнала на входе REF.

 

<Stat. Genlock >   - Статус ведения ФАПЧ от выбранного источника синхронизации модуля.

 

 

< Status In>   - Информация о входном сигнале  SDI IN:

 

<Format> - Информация  о наличии сигнала и формате;

<Audio Det- Информация  о наличии звуковых групп;

<EDH/CRC- Информация  о наличии ошибок EDH/CRC за минуту и час;

<Reset Err><Yes / No?>    - Сброс ошибок EDH/CRC за минуту и час.

 

 

 

<Conf Video> - Регулировки видео сигналов:

 

<Test Bars>  - Включение/выключение тестового сигнала;

<H-Timing>  - Регулировка фазы выходного сигнала по строке в пикселях;

<V-Timing>  - Регулировка фазы выходного сигнала по кадру в строках;

< Frame Delay >  - Регулировка задержки видео и звука в кадрах;

<Lost Vid In>  - Вид выходного сигнала при отсутствии входного сигнала.

 

<Conf Audio> - Регулировки аудио сигналов:

 

<Aud Switch><Out x/x>  - Коммутация входных аудио сигналов на соответствующий выход.

< Aud Switch ><Test Tone>  - Разрешение включения звукового тестового сигнала 1кГц вместе с тестовым видеосигналом “Bars”:

All - звуковой сигнал разрешён во всех звуковых каналах;

Off - звуковой сигнал запрещен во всех звуковых каналах;

Pr x/x> - звуковой сигнал разрешён на соответствующем выходе.

 

<Aud Gain><Out x/x> - регулировка усиления аудио сигналов на соответствующем выходе.

 

<Aud Delay ><Out x/x> - регулировка задержки аудио сигналов на соответствующем выходе.

 

 

< Default Set>< Yes / No? >  - Сброс настроек модуля к значениям по умолчанию.

 

<Version> - Информация о версии ПО модуля.

 

<File> - Обновление  ПО модуля:

 

 <Altera FPGA firmware read - чтение файла из блока.

 <Altera FPGA firmware read> <Download>    - загрузить.

 

 <Altera FPGA firmware write> - запись файла в блок.

 <Altera FPGA firmware write><Submit> - отправить.

 

 

 


 

Интерфейс программного комплекса PROFLEX3

 

Интерфейс программного комплекса PROFLEX3 предназначен для отображения, мониторинга и управления некоторыми режимами работы модулей.

 

                                                   

 

 

Строка STATUS  - общая для всех модулей, некоторые из индикаторов могут не использоваться:

STATUS REF – наличие сигнала на выбранном входе REF;

STATUS INPUT – наличие входного сигнала SDI IN;

STATUS FREEZE – не используется;

STATUS BARS – горит красным если включен сигнал TEST;

 


 

Error REF – горит красным при отсутствии сигнала на входе REF или несоответствии допустимому стандарту;

Format REF - информация о наличии и формате сигнала на выбранном входе REF;

Genlock - статус захвата ФАПЧ к выбранному источнику синхронизации;

 

Error SDI – индикатор состояния входа SDI IN, горит красным при появлении одного из установленных событий меню Alarm для входного сигнала;

Format – информация о формате входного сигнала SDI IN;

GR1 ... 4 – наличие звуковых групп во входном сигнале SDI IN:

EDH/CRC – информация о наличии ошибок EDH/CRC за минуту и час, горят красным, если произошла ошибка во входном сигнале SDI IN;

EDH/CRC Reset – сброс ошибок EDH/CRC;

 Bars – вкл./выкл. тестового сигнала Bars на выходе.

 


 

 

^Наверх